
PiChain系统已更新完成,已准备好进行实物交换
PiChain系统已更新完成,已准备好进行实物交换

PiChain系统已更新完成,已准备好进行实物交换

太兴奋了!这几点可以增加算力! 千万不要启动闪电之后立马退出,会因此错失kyc机会!

我们必须要清楚一点,当今整个世界都在飞速变化,尤其是疫情加速了每一个领域变化的速度。 新的时代和机遇已经开始,百年未有之大变局开始,迅速意识到这一变化的人,势必比许多人提前进入快车道。 1 web3.0模式 web3.0是一种模式,一种概念...

生态应用是价值积累和流通提升价值最重要的环节,所以生态应用是极其重要的。 可是,有人有商业的地方,就必然存在以利益为主的市场。选择正确的生态应用,才是最安全的方式。 我们应该把一件简单的事情做到极致,就能感悟和理解到别人无法理解的东西和收获...

节点调试月底结束、SDK升级、易货1000美金起、KYC进行时、映射在5月初、628开放式主网……

假如十年之后你有一千个圆周率,你会不会感谢今天的你

被Pi聊天室禁言的朋友好消息来了 全体注意:管理紧急提醒这些生态一定要远离!

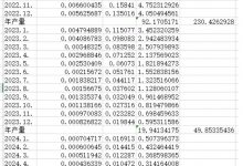
做了估算表,珍惜现在的高速期,生态启动后,后面越降更快。 派基础挖矿速率已从0.0237π/h减产为:0.0202π/h, 日产量由:0.5688π/h减产为:0.4848π/h ! 各位,定好闹钟!每天准点点亮闪电 ,越来越难挖了。 每月...

Pi逐月递减! 新规则第一次减产,生产速率降至0.0202π/小时,降幅14.7%。 此后每月1日(中国区2日)都会再次减,降幅只会更大不会更小。 根据下表,到2025年全年也生产不到1个P。随着减产,价值预期将成倍数提升。

惊叹!π越来越稀缺了 博士没有大规模kyc开始的原因原来如此简单!

只要有指纹和面部识别的手机,就不需要输入助记词打开钱包 关于进入生态的方式,这种方式才是最安全的!

Pi币:国外生态纷纷落地

整个四月,基础速度为0.0202,已经生效。三月的是0.0237。 这个数值,只会越来越小,并且直到零为止,每个月都会降速一次,大家熟知。 1 正确认识降速 其实,降速是一个必然的事情。它随着数量不断累计,会让设定好的数量减少。 但也要考虑...

从第一阶段开始,到Mainent后,陆陆续续将有100多个多细分行业加入Mainnet。 这是趋势,也是时代新起点。这些行业如何参与进入Mainnet? 要参与,只需要和Mainnet完成对接,打通数据。而浏览器,就是展现这些行业生态的地方...

Pi网络节点的重要性,存在的意义 Pi节点的意义: pi节点是pi公链中不可或缺的组成部分,区块链的去中介化并不代表着不接受监管,“去中心化”去的是中央控制方和中介方,而不是监管方。节点可以方便地接入任何一个区块链网络。由于区块链的公开透明...

一个月一减产,后期一年不到一个,再过几个月哭的人一大把

服务协议 最后修改日期:2021年6月12日SocialChainValidator服务协议本验证服务协议(协议)是双方之间具有约束力的合同,作为validator(validator)和Social Chain Inc,一家特拉华州公司(...

减产已经开始了! 完全不一样 即将合规化!春天正式来了 小管:已经确定易货时间!但很有可能会提前至四月份!

人才啊!特意为圆周率派写的诗! 太棒了!刚刚!1个圆周率好消息来了! 太好了!这类先锋不需要人工验证!

切记!不要点任何来历不明的链接及注册任何生态 否则后果无法承受